> restart:#"m16_p10"

> read`../therm_eq.m`:read`../therm_chem.m`:with(therm_chem);with(therm_proc):

[Ateo, Mf, PCI, PCS, eqEQ, eqMIX, eq_fit, get_hgs_data, hgs_r25, nulist, seqEBE]

De medidas de la velocidad de reacción para 2NO2 Æ 2NO + O2 se ha obtenido la constante de reacción, resultando ser k = 0,498.10 3 m3.mol 1.s 1 a 592 K y k = 4,743.10 3 m3.mol 1.s 1 a 656 K. Se pide:

a) Calcular la velocidad de reacción para cNO2 = 3 mol.m 3.

b) Calcular las constantes Ea, Ta y Ba de la ley de Arrhenius.

c) Representar la composición en función del tiempo, sabiendo que inicialmente cNO2 = 3 mol/m3, cNO = cO2 = 0 y que la reacción se hace a T = 656 K

Datos:

> su1:=`Aire`:su2:=`H2O`:eq1:=2*NO2=2*NO+O2;dat:=[T1=592*K_,kf1=0.498e-3*m_^3/(mol_*s_),T2=656*K_,kf2=4.74e-3*m_^3/(mol_*s_),cNO2=3*mol_/m_^3,cNO=0,cO2=0];

`+`(`*`(2, `*`(NO2))) = `+`(`*`(2, `*`(NO)), O2)
[T1 = `+`(`*`(592, `*`(K_))), kf1 = `+`(`/`(`*`(0.498e-3, `*`(`^`(m_, 3))), `*`(mol_, `*`(s_)))), T2 = `+`(`*`(656, `*`(K_))), kf2 = `+`(`/`(`*`(0.474e-2, `*`(`^`(m_, 3))), `*`(mol_, `*`(s_)))), cNO2 ...

Eqs. const.:

> dat:=op(dat),op(subs(g=g0,[Const])),SI2,SI1:

a) Calcular la velocidad de reacción para cNO2 = 3 mol.m 3

> deq:=diff(c[i](t),t)=-nu[i]*kf(T)*c[i](t)^nu[i];deq1:=subs(i=NO2,deq);deq1T1_:=lhs(deq1)=subs(nu[NO2]=2,c[NO2](t)=cNO2,kf(T)=kf1,dat,rhs(deq1));deq1T2_:=lhs(deq1)=subs(nu[NO2]=2,c[NO2](t)=cNO2,kf(T)=kf2,dat,rhs(deq1));

diff(c[i](t), t) = `+`(`-`(`*`(nu[i], `*`(kf(T), `*`(`^`(c[i](t), nu[i]))))))
diff(c[NO2](t), t) = `+`(`-`(`*`(nu[NO2], `*`(kf(T), `*`(`^`(c[NO2](t), nu[NO2]))))))
diff(c[NO2](t), t) = `+`(`-`(`/`(`*`(0.8964e-2, `*`(mol_)), `*`(`^`(m_, 3), `*`(s_)))))
diff(c[NO2](t), t) = `+`(`-`(`/`(`*`(0.8532e-1, `*`(mol_)), `*`(`^`(m_, 3), `*`(s_)))))

b) Calcular las constantes Ea, Ta y Ba de la ley de Arrheniu

> eqArrh:=k=Ba*exp(-Ta/T);eqArrhT1_:=subs(k=kf1,T=T1,dat,eqArrh);eqArrhT2_:=subs(k=kf2,T=T2,dat,eqArrh);sol1_:=solve({eqArrhT1_,eqArrhT2_},{Ta,Ba})[4];Ea:=R[u]*Ta;Ea_:=subs(sol1_,Const,Ea);

k = `*`(Ba, `*`(exp(`+`(`-`(`/`(`*`(Ta), `*`(T)))))))
`+`(`/`(`*`(0.498e-3, `*`(`^`(m_, 3))), `*`(mol_, `*`(s_)))) = `*`(Ba, `*`(exp(`+`(`-`(`/`(`*`(`/`(1, 592), `*`(Ta)), `*`(K_)))))))
`+`(`/`(`*`(0.474e-2, `*`(`^`(m_, 3))), `*`(mol_, `*`(s_)))) = `*`(Ba, `*`(exp(`+`(`-`(`/`(`*`(`/`(1, 656), `*`(Ta)), `*`(K_)))))))
{Ba = `/`(`*`(`*`(0.5338e7, `*`(I)), `*`(`^`(m_, 3))), `*`(mol_, `*`(s_))), Ta = `*`(`+`(0.1367e5, `*`(0.3813e5, `*`(I))), `*`(K_))}
`*`(R[u], `*`(Ta))
`/`(`*`(`+`(0.1137e6, `*`(0.3170e6, `*`(I))), `*`(J_)), `*`(mol_))

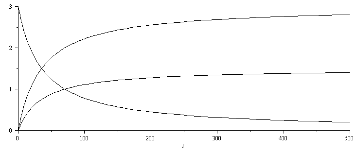
c) Representar la composición en función del tiempo, sabiendo que inicialmente cNO2 = 3 mol/m3, cNO = cO2 = 0 y que la reacción se hace a T = 656 K

> deq1:=subs(i=NO2,kf(T)=kf2,deq);dsol1:=dsolve(subs(nu[NO2]=2,dat,{deq1,c[NO2](0)=cNO2}),c[NO2](t));deq2:=diff(c[NO](t),t)=-diff(c[NO2](t),t);dsol2:=dsolve(eval(subs(dsol1,dat,{deq2,c[NO](0)=cNO})),c[NO](t));deq3:=diff(c[O2](t),t)=-(1/2)*diff(c[NO2](t),t);dsol3:=dsolve(eval(subs(dsol1,dat,{deq3,c[O2](0)=cO2})),c[O2](t));

diff(c[NO2](t), t) = `+`(`-`(`*`(nu[NO2], `*`(kf2, `*`(`^`(c[NO2](t), nu[NO2]))))))
c[NO2](t) = `+`(`/`(`*`(75000, `*`(mol_, `*`(s_))), `*`(`^`(m_, 3), `*`(`+`(`*`(711, `*`(t)), `*`(25000, `*`(s_)))))))
diff(c[NO](t), t) = `+`(`-`(diff(c[NO2](t), t)))
c[NO](t) = `+`(`-`(`/`(`*`(75000, `*`(mol_, `*`(s_))), `*`(`^`(m_, 3), `*`(`+`(`*`(711, `*`(t)), `*`(25000, `*`(s_))))))), `/`(`*`(3, `*`(mol_)), `*`(`^`(m_, 3))))
diff(c[O2](t), t) = `+`(`-`(`*`(`/`(1, 2), `*`(diff(c[NO2](t), t)))))
c[O2](t) = `+`(`-`(`/`(`*`(37500, `*`(mol_, `*`(s_))), `*`(`^`(m_, 3), `*`(`+`(`*`(711, `*`(t)), `*`(25000, `*`(s_))))))), `/`(`*`(`/`(3, 2), `*`(mol_)), `*`(`^`(m_, 3))))

> plot(subs(SI0,{rhs(dsol1),rhs(dsol2),rhs(dsol3)}),t=0..500,0..3,color=black);

Plot_2d

>