> restart:#"m01_p32"

Dentro de un cilindro vertical de 0,01 m2 de sección hay 0,01 kg de nitrógeno encerrado con un émbolo superior de 5 kg de acero. Considérese la siguiente evolución: 1) mediante las fuerzas apropiadas se obliga al pistón a reducir lentamente en un 10% el volumen ocupado por el gas, y 2) se libera el anclaje y se permite el libre movimiento del émbolo. Se pide:
a) Esquema de la evolución en un diagrama altura-tiempo.
b) Determinar el espesor del émbolo y su altura inicial.
c) Valores p-V-T en los estados de equilibrio considerados.
d) Variación de energía entre los estados antedichos y para todo el ciclo, así como calor y trabajo transferidos entre los sistemas involucrados.

Datos:

> read"../therm_eq.m":read"../therm_proc.m":with(therm_proc):unprotect(gamma):

> su1:="N2":su2:="Acero_inox":dat:=[A=0.01*m_^2,m=0.01*kg_,mE=5*kg_,V2_V1=0.9];

`:=`(dat, [A = `+`(`*`(0.1e-1, `*`(`^`(m_, 2)))), m = `+`(`*`(0.1e-1, `*`(kg_))), mE = `+`(`*`(5, `*`(kg_))), V2_V1 = .9])

Esquema:

> `:=`(Sistemas, [gas, emb, amb])

> `:=`(Estados, [1 = inicial, 2 = `+`(`*`(.9, `*`(V))), 3 = zmax, 4 = eqmec, 5 = final])

Ecs. const.:

> eqET:=subs(eq1_11,eq1_12);eqEE:=eq1_16;gdat:=get_gas_data(su1):sdat:=get_sol_data(su2):rho[acero]:=subs(sdat,rho);dat:=op(dat),Const,gdat,sdat,SI2,SI1:

`:=`(eqET, `/`(`*`(m), `*`(V)) = `/`(`*`(p), `*`(R, `*`(T))))

`:=`(eqEE, DU = `*`(m, `*`(c[v], `*`(DT))))

`:=`(rho[acero], `+`(`/`(`*`(7900., `*`(kg_)), `*`(`^`(m_, 3)))))

a) Esquema de la evolución en un diagrama altura-tiempo.

>

Image

b) Determinar el espesor del émbolo y su altura inicial.

> eqBF:=mE*diff(z(t),t,t)=(p-p0)*A-mE*g-Ff;eqBFint:=int(mE*diff(z(t),t,t)*diff(z(t),t),t)=Int((p-p0)*A-mE*g-Ff,z);T1:=T0:T2:=T0:p1:=p0+mE*g/A;p1_:=subs(dat,p1):'p1'=evalf(%,3);V1:=solve(subs(p=p1,T=T1,eqET),V);V1_:=subs(dat,subs(p1=p1_,dat,V1)):'V1'=evalf(V1_,2);z1_:=subs(dat,V1_/A):'z1'=evalf(z1_,3);e_:=mE/(rho*A);e__:=subs(dat,e_):'e'=evalf(e__,2);

`:=`(eqBF, `*`(mE, `*`(diff(z(t), `$`(t, 2)))) = `+`(`*`(`+`(p, `-`(p0)), `*`(A)), `-`(`*`(mE, `*`(g))), `-`(Ff)))

`:=`(eqBFint, `+`(`*`(`/`(1, 2), `*`(mE, `*`(`^`(diff(z(t), t), 2))))) = Int(`+`(`*`(`+`(p, `-`(p0)), `*`(A)), `-`(`*`(mE, `*`(g))), `-`(Ff)), z))

`:=`(p1, `+`(p0, `/`(`*`(mE, `*`(g)), `*`(A))))

p1 = `+`(`*`(0.105e6, `*`(Pa_)))

`:=`(V1, `/`(`*`(m, `*`(A, `*`(R, `*`(T0)))), `*`(`+`(`*`(p0, `*`(A)), `*`(mE, `*`(g))))))

V1 = `+`(`*`(0.82e-2, `*`(`^`(m_, 3))))

z1 = `+`(`*`(.815, `*`(m_)))

`:=`(e_, `/`(`*`(mE), `*`(rho, `*`(A))))

e = `+`(`*`(0.63e-1, `*`(m_)))

b) Valores p-V-T en los estados de equilibrio considerados, numerándolos convenientemente.

> V2_:=subs(dat,dat,V1*V2_V1):'V2'=evalf(V2_,2);p2:=solve(subs(T=T2,V=V2_,eqET),p):p2_:=subs(dat,dat,p2):'p2'=evalf(%,3);z2_:=subs(dat,V2_/A):'z2'=evalf(z2_,3);DU12:=0;W12:=Int(-p,V='V1..V2');W12:='Int(-m*R*T0/V,V=V1_..V2_)';W12_:=evalf(subs(dat,SI0,value(W12)))*J_:'W12'=evalf(W12_,2);Q12:='DU12-W12';Q12_:=DU12-W12_:'Q12'=evalf(Q12_,2);Fdedo:='(m*R*T0/V-p0)*A-mE*g';Wdedo:='Int(-Fdedo/A,V=V1..V2)';Wdedo_:=subs(dat,int(expand(subs(dat,V=V*m_^3,-Fdedo/A*m_^3)),V=V1_/m_^3..V2_/m_^3)):'Wdedo'=evalf(Wdedo_,2);Watm_:=subs(mE=mE_,dat,p0*A*(z1_-z2_)):'Watm'=evalf(Watm_,2);WE_:=subs(dat,mE*g*(z1_-z2_)):'WE'=evalf(WE_,2);Wneto_:=W12_-Watm_-WE_:'Wneto'=evalf(Wneto_,2);

V2 = `+`(`*`(0.73e-2, `*`(`^`(m_, 3))))

p2 = `+`(`*`(0.117e6, `*`(Pa_)))

z2 = `+`(`*`(.734, `*`(m_)))

`:=`(DU12, 0)

`:=`(W12, Int(`+`(`-`(p)), V = V1 .. V2))

`:=`(W12, Int(`+`(`-`(`/`(`*`(m, `*`(R, `*`(T0))), `*`(V)))), V = V1_ .. V2_))

W12 = `+`(`*`(90., `*`(J_)))

`:=`(Q12, `+`(DU12, `-`(W12)))

Q12 = `+`(`-`(`*`(90., `*`(J_))))

`:=`(Fdedo, `+`(`*`(`+`(`/`(`*`(m, `*`(R, `*`(T0))), `*`(V)), `-`(p0)), `*`(A)), `-`(`*`(mE, `*`(g)))))

`:=`(Wdedo, Int(`+`(`-`(`/`(`*`(Fdedo), `*`(A)))), V = V1 .. V2))
Wdedo = `+`(`*`(4.6, `*`(J_)))

Watm = `+`(`*`(82., `*`(J_)))

WE = `+`(`*`(4.0, `*`(J_)))

Wneto = `+`(`*`(4.6, `*`(J_)))

De 2 a 3 integrando el balance de fuerzas y resolviendo a mano.

> eqBE23:=0='p2*z2^gamma*(z3^(1-gamma)-z2^(1-gamma))*A/(1-gamma)-(p0*A+mE*g)*(z3-z2)';eqBE23_:=subs(z2=z2_,dat,SI0,eqBE23):evalf(%,4);z3aux:=2*z1-z2;z3aux_:=evalf(2*z1_-z2_,3);f(z)=subs(z3=z3aux_/m_,rhs(eqBE23_)):evalf(%,2);z3aux_:=0.850*m_;f(z)=subs(z3=z3aux_/m_,rhs(eqBE23_)):evalf(%,2);z3=0.850*m_;plot({2910-1891/z^0.4-1049*z,rhs(subs(z3=z,eqBE23_))},z=0..1,`f(z)`=-5..5,numpoints=100,tickmarks=[10,3]);

`:=`(eqBE23, 0 = `+`(`/`(`*`(p2, `*`(`^`(z2, gamma), `*`(`+`(`^`(z3, `+`(1, `-`(gamma))), `-`(`^`(z2, `+`(1, `-`(gamma))))), `*`(A)))), `*`(`+`(1, `-`(gamma)))), `-`(`*`(`+`(`*`(p0, `*`(A)), `*`(mE, `...

0. = `+`(`-`(`/`(`*`(1891.), `*`(`^`(z3, .399596270)))), 2910., `-`(`*`(1049., `*`(z3))))

`:=`(z3aux, `+`(`*`(2, `*`(z1)), `-`(z2)))

`:=`(z3aux_, `+`(`*`(.896, `*`(m_))))

f(z) = -6.0

`:=`(z3aux_, `+`(`*`(.850, `*`(m_))))

f(z) = .20

z3 = `+`(`*`(.850, `*`(m_)))
Plot_2d

De 2 a 3, pero usando el balance energético.

> eqBE23:=0=rhs(eqBFint);eqBE23:=m*c[v]*(T3-T2)=-p0*A*(z3-z2)-mE*g*(z3-z2);eqBE23_:=subs(T3=T2*(z2/z3)^(gamma-1),z2=z2_,dat,SI0,eqBE23):z3_:=fsolve(eqBE23_,z3=z2_/m_+1e-6..1)*m_:'z3'=evalf(z3_,3);T3_:=subs(dat,T2*(z2_/z3_)^(gamma-1)):'T3'=evalf(T3_,3);V3_:=subs(dat,z3_*A):'V3'=evalf(V3_,2);p3_:=subs(dat,m*R*T3_/V3_):'p3'=evalf(p3_/(1000*Pa_/kPa_),2);Q23_:=0;W23_:=subs(dat,m*c[v]*(T3_-T2)):'W23'=evalf(W23_,2);

`:=`(eqBE23, 0 = Int(`+`(`*`(`+`(p, `-`(p0)), `*`(A)), `-`(`*`(mE, `*`(g))), `-`(Ff)), z))

`:=`(eqBE23, `*`(m, `*`(c[v], `*`(`+`(T3, `-`(T0))))) = `+`(`-`(`*`(p0, `*`(A, `*`(`+`(z3, `-`(z2)))))), `-`(`*`(mE, `*`(g, `*`(`+`(z3, `-`(z2))))))))

z3 = `+`(`*`(.852, `*`(m_)))

T3 = `+`(`*`(271., `*`(K_)))

V3 = `+`(`*`(0.85e-2, `*`(`^`(m_, 3))))

p3 = `+`(`*`(95., `*`(kPa_)))

`:=`(Q23_, 0)

W23 = `+`(`-`(`*`(0.12e3, `*`(J_))))

> p4_:=subs(dat,p1):'p4'=evalf(%/(1000*Pa_/kPa_),2);z4_:=subs(dat,dat,z2_*(p2/p4_)^(1/gamma)):'z4'=evalf(z4_,3);T4_:=subs(dat,T2*(z2_/z4_)^(gamma-1)):'T4'=evalf(T4_,3);V4_:=subs(dat,z4_*A):'V4'=evalf(V4_,2);Q24_:=0;W24_:=subs(dat,m*c[v]*(T4_-T2)):W24_:=evalf(W24_,2);

p4 = `+`(`*`(0.10e3, `*`(kPa_)))

z4 = `+`(`*`(.791, `*`(m_)))

T4 = `+`(`*`(279., `*`(K_)))

V4 = `+`(`*`(0.79e-2, `*`(`^`(m_, 3))))

`:=`(Q24_, 0)

`:=`(W24_, `+`(`-`(`*`(63., `*`(J_)))))

> p5_:=subs(dat,p1):'p5'=evalf(%/(1000*Pa_/kPa_),2);z5_:=z1_:'z5'=evalf(z5_,3);T5_:=subs(dat,T1);V5_:=subs(dat,z5_*A):'V5'=evalf(V5_,2);W45_:=subs(dat,-p5_*(V5_-V4_)):'W45'=evalf(W45_,2);Q45_:=subs(dat,m*c[v]*(T5_-T4_)-W45_):'Q45'=evalf(Q45_,2);

p5 = `+`(`*`(0.10e3, `*`(kPa_)))

z5 = `+`(`*`(.815, `*`(m_)))

`:=`(T5_, `+`(`*`(288, `*`(K_))))

V5 = `+`(`*`(0.82e-2, `*`(`^`(m_, 3))))

W45 = `+`(`-`(`*`(25., `*`(J_))))

Q45 = `+`(`*`(89., `*`(J_)))

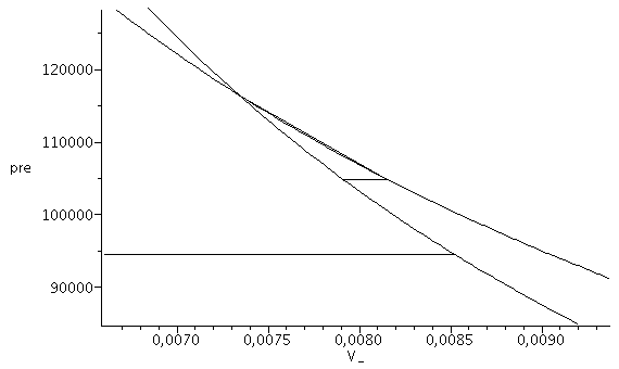
c) Representación de la evolución en el diagrama p-V.

> plot({[[V1_/m_^3,p1_/Pa_],[V2_/m_^3,p2_/Pa_]],p1_/Pa_*(V1_/m_^3/V_),[[V4_/m_^3,p4_/Pa_],[V5_/m_^3,p5_/Pa_]],[[.9*V2_/m_^3,p3_/Pa_],[V3_/m_^3,p3_/Pa_]],p2_/Pa_*(V2_/m_^3/V_)^subs(dat,gamma)},V_=.9*V2_/m_^3..1.1*V3_/m_^3,pre=0.9*p3_/Pa_..1.1*p2_/Pa_

> ,colour=black);

Plot_2d

>